
Dibujo infinito inspirado en Esher – Betsy Christian Cuevas Martínez
![]()
Betsy Christian Cuevas Martínez – Matemática – México
Una curiosa aplicación de la probabilidad – La ley de Benford y la detección de fraudes
No cabe duda que una de las características distintivas del ser humano es la curiosidad, el querer saber, la necesidad de estar consiente de qué es lo que ocurre a nuestro alrededor, eso sí, cada persona elige la manera en que quiere enterarse de las cosas ya sea investigando, creyendo en alguna divinidad o incluso confiando en la suerte. Para su servidora una de las más apasionantes áreas de estudio para satisfacer la curiosidad son las matemáticas y dentro de éstas hay un área llamada probabilidad que seguramente recordaran del colegio. En esta curiosidad, recientemente en un MOOC (Massive Online Open Courses) de la universidad de Zurich impartido por el profesor Karl Shmedders, llamado: An Intuitive Introduction to Probability, encontré una hermosa función de probabilidad que espero los sorprenda.
Todos tenemos nociones intuitivas de probabilidad, sabemos que si lanzamos una moneda obtenemos cara o cruz y que cada uno de estos resultados es igualmente posible, incluso afirmamos que, por ejemplo, la probabilidad de que caiga cara es del 50% y de que caiga cruz de 50%. Si tenemos 10 bolas en una urna, 6 de color rojo y 4 de color azul, la probabilidad de obtener una bola azul es 4 de 10, matemáticamente lo escribimos como 4/10 = 0,4, en porcentaje multiplicamos por 100 el resultado y obtenemos 40%. Para no extendernos con más ejemplos, pensemos ahora en los dígitos que ocupamos para escribir los números 1,2,3,4,5,6,7,8,9. ¿Cuál es la probabilidad de que un número de un conjunto bastante grande de números empiece por 1? Con lo que repasamos, nuestra primera respuesta sería uno de nueve, es decir; 1/9 = aproximadamente 11.11%, pues resulta que no es así.
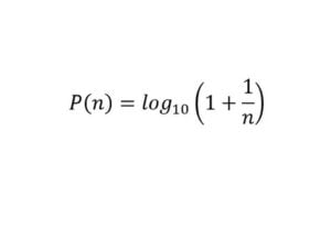
Si tenemos un conjunto bastante grande de números como: los precios de todos los productos de una tienda, la población de cada municipio de México, el número de veces que se ha reproducido cada video de youtube, la longitud de cada río del mundo, por mencionar algunos ejemplos, la probabilidad de que un número de estos conjuntos empiece por el número 1 es alrededor del 30.130%. Este resultado es establecido por la Ley de Benford o también llamada ley de los números anómalos, la cual nos sirve para calcular la probabilidad de que la primera cifra de un conjunto grande de números asociado aun mismo fenómeno empiece por un dígito n específico distinto de cero. Esta probabilidad se calcula por:

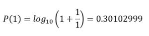
Si tienes una calculadora a mano o la app de la calculadora en tu dispositivo móvil, que en estos tiempos seguramente es así, puedes calcular por ejemplo que si tenemos los precios de todos los productos de una tienda de conveniencia la probabilidad de que el precio empiece por 1 es:

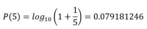
Que en porcentaje es aproximadamente 30.103%. Así la probabilidad de que el precio de un producto empiece digamos por 5 es:

Que en porcentaje es aproximadamente 7.92%.
En la siguiente tabla observamos las probabilidades correspondientes a cada número y un gráfico que nos ayuda a imaginar el comportamiento de estas probabilidades:

No todo conjunto numérico sigue la Ley de Benford, para que estas probabilidades se cumpla, los conjuntos numéricos deben tener las siguientes propiedades:
-Ser números presentes en la vida cotidiana, generados naturalmente.
-Tener por lo menos 10000 elementos
-No ser números aleatorios cualquiera
-No ser números de un rango pequeño de datos
Así que, si tomamos el conjunto de los números correspondientes a la temperatura del cuerpo humano, inferimos que los números oscilaran entre 35 y 41 grados Celsius, y es claro que en este conjunto no se cumple la Ley de Benford. Sin embargo si registraríamos los números correspondientes a los domicilios del continente americano desde Alaska hasta la Patagonia les garantizo queridos lectores que el número 1 aparecerá con una frecuencia del 30.103%.
Frank Albert Benford (1883-1948) fue un físico estadounidense que notó en determinada biblioteca que las páginas de las tablas de logaritmos correspondientes al 1 estaban más usadas y desgastadas que las páginas correspondientes al 9. Tomemos en cuenta que en ese entonces no había computadoras, software, apps o calculadoras científicas, así que los matemáticos físicos e ingenieros utilizaban las tablas matemáticas para simplificar y agilizar los cálculos y estas tablas fueron las que estimularon la curiosidad de Benford que concluyó en su famosa ley.
En mi caso, al enterarme de esta distribución de probabilidad, noté que en una de mis calculadoras más viejitas y queridas por mí, una calculadora científica que he utilizado casi diario desde la preparatoria y que tiene con migo poco más de 20 años, efectivamente tiene súper desgastada la tecla del número uno, un tanto menos desgastada la del número 2 y la del 9 está casi nueva.
Pero esta Ley tiene aplicaciones más interesantes que notar el desgaste de mi calculadora, resulta que es utilizada para detectar fraudes fiscales, ya que si en el supuesto caso de que alguna persona quisiera cometer un fraude, está comprobado que incluirá en sus declaraciones números específicos que le hacen falta para ajustar los dineros o números totalmente aleatorios que provocarían que todo el conjunto numérico deje de cumplir con la ley de Benford. Actualmente este tipo de discrepancias numéricas son suficientes para sospechar de fraudes de los contribuyentes, detectar sobornos sobre las concesiones en la contabilidad de los gobiernos, incluso en países como Estados Unidos, México y el Salvador se han utilizado programas basados en la Ley de Benford para detectar alteraciones en el conteo de votos. Otro ejemplo se dio en la crisis económica que Grecia sufrió en el 2009, se intentó falsear cifras macroeconómicas, sin embargo un grupo de académicos alemanes dieron cuenta de ello utilizando ¿Qué creen? Claro, la Ley de Benford.
La ley de Benford es una herramienta estadística que describe la aparición de los números si se generan de forma natural. Matemáticos y físicos conocemos que los números en conjuntos numéricos con las características que mencionamos se comportan así, pero aún no sabemos por qué es así, sería equivalente a saber por qué cada río tiene la longitud que tiene o por qué hay exactamente cierta cantidad de habitantes en cada municipio en un instante de tiempo determinado. Siempre faltarán más preguntas por responder.